2013全国公共管理类专业(MPA)联考:问题求解试题解析

来源:中国研招信息网www.eduyz.net 作者:yzw 时间:2013-01-30 10:14:10
  •     核心提示:
问题求解题的参考答案与解析:

  1.解析:增长率问题,实际提前两天完成,即8天完成,设工作总量为a,则计划每天的工作总量为,实际每天的工作总量为a/8,设每天的产量比计划提高了x,则a/10(1+x)=a/8,解得x=25%

  答案C

  2.解析:工程问题,设乙丙两公司单独完成分别需要x,y天,由甲、乙两公司共同承保需28天完成可得(1/60+1/x)×28=1,同理(1/x+1/y)×35=1,解得y=105

  答案:E

  3.解析:设低于60分以下的人数最多有x人,则高于90分的人数为3x,又因为总人数为30,所以x+3x≤30,解得x≤7.5所以60分一下的人数最多为7人

  答案B4.解析:由于乙行走一圈需要8分钟,乙一共走了25分钟,所以乙走的圈数是25÷8=3.125(圈)甲比乙多走一圈即甲走了4.25圈。用甲行走的路程除以甲行走的时间得出甲的速度为66

  答案C

  5.二元一次方程的应用,设甲乙两商店的进货量分别为x,y。由题意得:

  (x-15):(y-10)=8:7,(x-15)-(y-10)=5联立方程解得x=55,y=45。所以甲乙两店的总进货量为100。

  答案为D

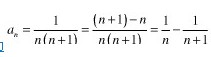
  6.解析:考察最基本的裂项公式的应用。

  答案为E

  7.解析:考察两个相似三角形的面积和边长的关系,面积比等于相似比的平方

  由题意得:△ADE~△ABC,利用这两个相似三角形可以求出DE的长

  答案:D

  8.解析:如果点A,B关于直线Ax+By+C=0对称,则经过这两点的直线与直线Ax+By+C=0垂直,并且A,B两点到直线直线Ax+By+C=0的距离相等。根据点到直线的距离公式和两直线垂直斜率的关系可得到答案。

  答案:E

  9.解析:将两个球融化为一个球之后总的体积没有变化,该问题变为已知球的体积求球的表面积的问题

  答案:B

  10.解析:本题涉及到多项式展开的内容,大纲之内没有做要求,但是可以通过多项式的乘法求出答案。

  答案:E

  11.解析:至少有1件为一等品包含两种情况,一是有一件一等品和一件非一等品,二是两件都为一等品。讲以上两种的选法除以总的选法

  答案为B

  12.优化分配问题,由线性规划的方法可知,边界位置取到最值,当熟练工和普通工都取6人时,支付的报酬最少。

  答案:C

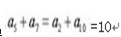
  13.解析:根据数列为等差数列和韦达定理得=10

  答案:D

  14.解析:抛物线y=a+bx+c的对称轴为x=-根据题意得b=-2又因为抛物线经过点(-1,1)代入得1+2+c=1所以c=-2

  答案A

  15.解析:分步乘法原理由A点到B点共有4种方法,由B到C有3种方法,由C点到A点有3种方法,所以总的方法为4×3×3=36

  答案:C

news


  • 地图
  • 中国考研网论坛
中国研招信息网