首 页
考研大纲
考研资讯
考研复习
考生须知
考生资讯
考研故事
考研常识
考验经验
政策法规
招生简章
专业硕士
当前位置:
首页
>
考生资讯
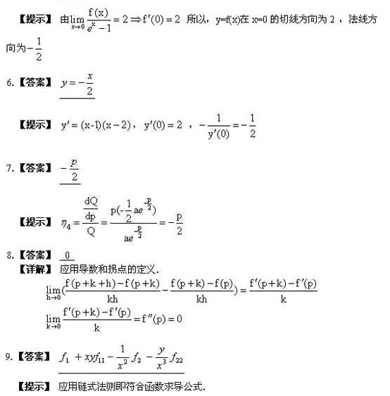
2012年考研经济类数学专项突破模拟题答案(高数
来源:
中国研招信息网www.eduyz.net
作者:
yzw
时间:
2012-10-27 09:43:50
核心提示:
顶一下
相关信息
2015考研复试听力必备技巧
2015考研复试:教你如何巧答面试官问题
考研找工作上补习班 最长寒假学生不轻松
考研找工作上补习班 最长寒假学生不轻松
结束初试,开启新征程--出分前给考研er的tips
2016考研“小鲜肉”备考五大宝典
2016考研:工学类专业解读之土木工程
2016考研:工学类专业解读之建筑学
2016考研成功备考:抓住七个关键点
2016考研必知:择校小技巧
从“三轮车夫”到“研究生”,讲讲我的
山东轻工业学院2011年硕士研究生招生简
考研心路
我如何安排复习--考研政治85分经验谈
政治复习
外语复习
数学复习
名师论坛
2018考研政治冲刺几点注意事项 复习效率提高
2019考研政治关爱拉分对象:客观题
2018考研政治最后一个月要锁定热点
学习宪法法律 建设法治体系
考研英语写作中的高分亮句
大纲中理论结合紧密的时政热点
2018考研政治:方法概述
2018考研政治热点:1927-2017建军90周年
2018考研政治大纲迟迟未到?历年考研政治大纲变
2018考研资料选择最快捷的五大渠道
更多
政治复习
外语复习
数学复习
名师论坛
2018考研英语阅读每篇只对一道题解答
2019考研英语词汇复习指导
十九大可能在考研英语部分出新题
2018考研英语冲刺经典翻译句型
2018考研英语考场答题时间合理分配
2018考研英语9月复习重点指导
考研英语复习
2018考研英语双语阅读:金砖峰会上习大大的25个
2018考研英语一与英语二翻译有什么区别?怎么提
2017考研英语:作文提分新途径,巧用插入语!
更多
政治复习
外语复习
数学复习
名师论坛
2018考研数学最后阶段教你怎么抓分
考研管理类联考重点分析:数学基础
2018考研数学三大误区你避开了吗?
2018考研数学:切忌眼高手低
考研数学大纲发布前复习该怎么继续?
在复习考研数学的时候,需要首先了解考研数学的
4月经济数学复习之招招必备 逐点击破
2018年从小做起考研数学复习走出误区
2018年把书变薄考研数学复习抓关键的妙招
2018年数学历年考试必考的10种简单题型
更多
政治复习
外语复习
数学复习
名师论坛
考研辅导:马哲辩证法专题复习指导及出题点
更多
考研指南
[
招生简章
]
北京交通大学软件学院2008年招收进修硕士研究生简
[考研信息]
考研新闻
招生简章
调剂信息
录取统计
[考研复习]
考研政治
考研外语
考研数学
考研名师
[考研资料]
考研大纲
英语真题
政治真题
数学真题
模拟考题
考研笔记
[考研指南]
政策法规
同等学力
[考研心路]
考研故事
考研经验
[专业学位]
法律硕士
MBA
MPA
工程硕士
[CET4-6]
考试新闻
考试须知
复习指导
模拟试题