考研数学一卷秀 真题是那一抹柔

来源:中国研究生招生网 作者: 时间:2008-09-09 17:24:04
  •     核心提示:
在考研复习准备工作进行到金秋九月的时候,脑中的弦可能已经绷得很紧了。整个考研准备的过程艰辛而漫长,每个考生都希望这个过程变得容易并且轻松。也许有人会说,要考研就要在思想上有吃苦的准备,这没错,但事实上我们可以让这种准备永远不变为现实,也就做到心情愉快地复习。我们以考研数学为例,因为相对来说,数学复习在考生的印象中是枯燥乏味的形象。

  最伟大的数学家兼物理学家阿基米得曾说过:给我一根足够长的杠杆,我能撬得起地球。我们在笑他疯狂的同时,也知道他所说的道理是完全正确的,利用杠杆的作用能省力千万倍。那么大家何不在数学复习中也找找相应的杠杆,使复习变得事半功倍呢?这需要大家睁开智慧的双眼,见宝识宝。

  首先需要知道考研数学的重心在什么地方

  考数学的同学都知道,考研数学分为三大块(数学二是家族中的宠儿,压力较小,不考概率。以数学一为例):高等数学、线性代数、概率论与数理统计,并且它们所占分值是分别是84分、34分、34分。高等数学主要内容有:微积分、空间几何、无穷级数、微分方程。但后三者在考题中也就是一个小题或一个大题,或根本不单独出现,而是与其他内容揉杂在一起。所以基础是微积分。

  线性代数主要内容有:行列式、矩阵、向量及线性方程组、二次型。其中行列式及矩阵是基础,向量及线性方程组、二次型是考试出大题的重点部分。线性代数算是三大块内容中最简单的一块,但它有个特点,就是概念多,公式多,并且内容相关性大,所以需要对概念及公式在做题中多加记忆并能灵活运用,对考点要多从整体上去把握。考试中线性代数的题量也不大,基本上每年都是三个小题及两个大题。

  概率论与数理统计主要内容有:随机事件及其概率、随机变量分布函数及其数字特征、大数定律和中心极限定律、数理统计。概率部分的真题基本上每年都是一两个小题外加一两个大题。有一点需提醒同学们:每年的考研试卷中都有大量考生在线性代数与概率统计部分交白卷,导致这两科内容的得分率偏低,可是事实上题目的难度却都不大。鉴于此,同学们在复习的时候不能把所有的精力都投入到高等数学部分,而应适当在线性代数与概率统计的复习上加大力度,争取把这两个科目的68分悉数囊中。

  再来看看如何才能最省力的复习好各部分考点

  对于考研数学,单单强调技巧是不可取的,只重视基础又无法取得高分,只有在熟悉基础知识的情况下,灵活运用技巧,才能达到理想中的目标。基础存在于教材之中。考研复习时教材至少要阅读三遍,这里的“阅读”指的是带着思考的头脑去看书,这样才会有“不同的时间踏入同一条河流”时的不同感受,对基础知识才会有深入的理解。

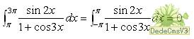
  技巧是建立在基础之上的,而教材之中很少涉及,它们存在于诸如《高等数学过关与提高》、《微积分过关与提高》、《线性代数过关与提高》《概率论与数理统计过关与提高》等资料之中。说实话,如果没有这些辅导资料的帮助,很多同学会很难想到下面的解题步骤:
    

  (第一个等号成立是因为周期函数在任一个周期上的定积分相等,第二个等号成立是因为奇函数在关于原点对称的区间上的定积分等于零)。所以选择一本好的考研辅导书并合理地利用它便能能为考生节省时间和精力,而它就是能为你撬起考题的杠杆。

  硕士研究生入学考试是选拔性的考试,对于数学来说,并不是说一个考生得到140分就说明数学一定过关,而在于是否比其他考生考得好。既然如此,那么考生一定要做的就是抢占先机,这先机就在于勤奋和辅导书是不是有机结合了。
news


  • 地图
  • 中国考研网论坛
中国研招信息网